Postingan

Rangkuman materi etika dan privasi iot dan inovasi masa depan iot

Nama    : Nadya Aura Salzabila Ramadhani NIM     : 202231008 Kelas   : IOT (B) Etika dan Privasi IOT dan I novasi Masa Depan IOT 1. Etika dan Privasi dalam IOT Etika dan privasi dalam Internet of Things (IoT) semakin menjadi isu yang krusial seiring dengan bertambahnya penggunaan perangkat yang saling terhubung. Salah satu perhatian utama adalah pengumpulan data pribadi pengguna. Banyak perangkat IoT yang mengumpulkan informasi sensitif, sehingga sangat penting bagi pengguna untuk mengetahui bagaimana data mereka akan dikelola. Keterbukaan dalam pengelolaan data sangat diperlukan agar pengguna dapat membuat keputusan yang bijak terkait dengan privasi mereka. Isu Etika dalam IoT Isu etika dalam IoT berfokus pada beberapa aspek penting, seperti: Pengumpulan Data: Perangkat IoT mengumpulkan data pengguna secara terus-menerus, yang dapat mencakup informasi sensitif seperti lokasi, kebiasaan, dan bahkan percakapan. Pengumpulan data tanpa izin a...

TRANSFORMASI LINEAR

Gambar
  NAMA                      : NADYA AURA SALZABILA RAMADHANI NIM                           : 202231008 KELAS                     : A PRODI                     : TEKNIK INFORMATIKA MATKUL                : ALJABAR LINEAR Transformasi Linear Misalkan V dan W adalah ruang vektor, T : V → W dinamakan transformasi linear, jika  untuk setiap ā, ƀ ∈ V dan a ∈ R berlaku :  1. T (ā + ƀ) = T (ā) + T (ƀ)  2. T (𝛼 ā ) = 𝛼 T (ā)  Jika V = W maka T dinamakan operator linear  Contoh =  Tunjukkan bahwa T : R ²  → R 3 , dimana  Merupakan transformasi linear. Misalkan: (i) Akan ditunjukkan bahwa    Terbukti bahwa   (ii) Ambil unsur sem...

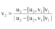
Basis Ortonormal & Gram Schmidt

Gambar
  NAMA                      : NADYA AURA SALZABILA RAMADHANI NIM                           : 202231008 KELAS                     : A PRODI                     : TEKNIK INFORMATIKA MATKUL                : ALJABAR LINEAR Ruang Hasil Kali Dalam Sebuah hasil kali dalam (inner product) pada ruang vektor riil V adalah fungsi yang mengasosiasikan bilangan riil [u,v] dengan masing-masing pasangan vektor u dan v pada v sedemikian rupa sehingga aksioma-aksioma berikut ini : [u,v] = [v,u]...

RUANG BARIS,RUANG KOLOM, DAN RUANG NUL

Gambar
NAMA                 : NADYA AURA SALZABILA RAMADHANI NIM                     : 202231008 KELAS               : A PRODI               : TEKNIK INFORMATIKA MATKUL          : ALJABAR LINEAR   Devinisi (Vektor-vektor baris dan kolom)  Misalkan A adalah suatu matriks m x n,    vektor-vektor     dalam R n yang dibentuk dari baris-baris A disebut sebagai vektor-vektor baris dari A.     Pada Rm yang dibentuk dari kolom-kolom matriks A disebut sebagai matriks kolom.  Definisi Jika Aadalah matriks matriks 𝑚×𝑛 maka subruang dari 𝑅^n yang direntang oleh vektor -vektor baris dari A disebut ruang baris dari A, dan subruang dari 𝑅^m yang yang direntang oleh vektor -vektor kolom dari dari A disebut disebut ruang kolom dari A. Ruang solusi dari sistem persam...

Basis Dan Dimensi 2

Gambar
  NAMA            : NADYA AURA SALZABILA RAMADHANI NIM                 : 202231008 KELAS           : A PRODI           : TEKNIK INFORMATIKA MATKUL      : ALJABAR LINEAR D) Membangun ruang vektor   Jika  u 1 ,u 2 ,…,u n  adalah vektor-vektor pada ruang vektor V, dan jika setiap vektor X pada V dapat dinyatakan sebagai kombinasi linier u 1 ,u 2 ,…,u n  maka u 1 ,u 2 ,…,u n  dikatakan membangun ruang vektor V. CONTOH : Apakah, u =  [1, 2, -1] T,   v = [-2, 3, 3] T   , w = [1, 1, 2] T    membangun R ³. JAWAB : Andaikan X = [X 1 , X 2 , X 3 ] T  vektor di R 3 . Bentuk kombinasi linier, X=K 1 u+K 2 v+K 3 w [X 1 , X 2 , X 3 ] T  = K 1 [1, 2, -1] T  + K 2 [-2, 3, 3] T ...

Basis Dan Dimensi

Gambar
  NAMA           : NADYA AURA SALZABILA RAMADHANI NIM                : 202231008 KELAS          : A PRODI          : TEKNIK INFORMATIKA MATKUL     : ALJABAR LINEAR BASIS DAN DIMENSI A. Ruang -N Euclides  Jika n sebuah bilangan bulat positif, maka n-pasangan bilangan berurut adalah sebuah urutan n bilangan real (X 1 , X 2 , X 3 , ... , Xn). Himpunan semua n-pasangan bilangan berurut dinamakan ruang-n Eucides dan dinyatakan dengan Rn. Definisi. Misalkan u = [ u 1 ,   u 2 , ... ,   u n]; v = [ v 1,   v 2 , ... ,   v n] vektor di   R n u = v jika hanya jika u1 =   v 1 ,   u 2   =   v 2 , ... ,   u n   =   v n u + v = [ u 1   +    v 1   .   u 2   +   v 2 , ....

Nilai Eigen Dan Vektor Eigen

Gambar
  Nama            : Nadya Aura Salzabila Ramadhani  Nim               : 202231008  Kelas            : A  Prodi            : Teknik Informatika Matkul          : Aljabar Linear Nilai Eigen dan Vektor Eigen Nilai Eigen ( )  adalah nilai karakteristik dari suatu   matriks  berukuran n x n, sementara  Vektor Eigen  ( ) adalah   vektor kolom   bukan nol yang bila dikalikan dengan suatu matriks berukuran n x n akan menghasilkan vektor lain yang memiliki nilai kelipatan dari vektor Eigen itu sendiri.